人脸识别损失函数对比总结
参考知乎链接:
https://zhuanlan.zhihu.com/p/34404607
https://zhuanlan.zhihu.com/p/34436551
softmax只保证能够正确的分类,但是无法保证同一类特征之间类内紧致,类间间隔大,如下图:

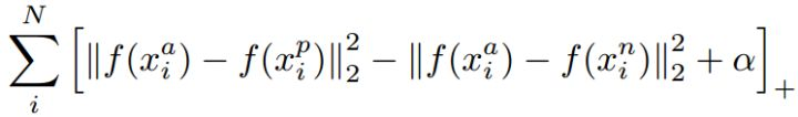
以三元组(a, p, n)形式进行优化,不同类特征的L2距离要比同类特征的L2距离大margin m,同时获得类内紧凑和类间分离,其中三元组的选择极具技巧性。
L-softmax加强分类条件,强制让对应类别的W和x夹角增加到原来的m倍。

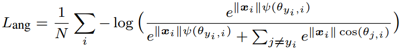
在L-softmax的基础上,归一化了权值W,让训练更加集中在优化深度特征映射和特征向量角度上,降低样本数量不均衡问题。但是采用乘性margin较难收敛,m越大,越难收敛。









